中国的人口转变:传统与现代并存
Q人口转变是什么?
人口转变,是西方学者基于对发达国家人口出生率、死亡率变化的观察,通过经验概括提出的重要概念。经典人口转变是指人口从高出生率、高死亡率向低出生率、低死亡率变化的过程。
根据经典的人口转变理论,生育率在自然下降到更替水平(2.1个)时会变得稳定,出生率与死亡率基本一致,人口总量与结构也达到动态平衡。然而,大量北欧、西欧国家的数据显示,生育率并没有在降至更替水平时停止,而是继续下降到1.5以下的水平。此时,人口学家们提出了 “第二次人口转变” 这一理论框架来解释生育率为何持续低于更替水平,并预测在经典人口转变完成后,社会整体人口结构的走向以及个体家庭行为的变化。
图1 经典人口转变模型

资料来源:刘爽、卫银霞、任慧,2012
人口转变不仅仅是人口的变化,更重要的是其背后蕴藏的社会经济文化的变化。第二次人口转变出现的社会原因与经典的人口转变不同,后者的主要驱动力是工业化与经济发展,前者则与家庭观念变化、个体主义和女性教育水平的提高有着紧密的联系。随着家庭的小型化,家庭逐渐发生了从以子女为中心到以夫妻为中心的变化。
在传统社会中,家庭的重心在于培养子女,并使子女获得向上流动,以增加整个家庭的福利。然而考虑到照顾子女的成本与负担,当前的一些夫妻为了更好地实现自我价值,有时会选择少生育、甚至不生育子女,而且避孕技术的发展能让这一想法得以实现。价值观与需求层次的变化带来了个体主义的兴起,当社会变得富裕之后,人们的需求从生理和安全提升到了自我实现层面。
年轻一代也对传统的社会规则提出了挑战,性解放运动使得性行为不再局限在婚姻以内,婚前性行为得到了认可,婚姻这一传统家庭制度的地位与功能也受到了动摇。这些观念上的变化导致了家庭组成形式的多样化。
此外,性别平权运动使得女性的教育水平不断接近甚至超过了男性,在校时间也更长。这使得相当一部分年轻的女性不再想早早进入婚姻,而是更期待在事业上有所成就。即便是已婚的女性,考虑到母亲身份与工作的冲突,往往也并不会立刻生育子女。这些变化带来了女性的初婚、初育时间的推迟。
01中国的第二次人口转变
随着经济的发展与医疗卫生水平的提高,中国当前已完成经典的人口转变,即人口从高出生率、高死亡率向低出生率、低死亡率变化的过程。人口普查数据显示,当前中国男性与女性的预期寿命从1950年的42.2岁和45.6岁上升到了2010年的74.6岁和78.4岁,婴儿死亡率与人口健康状况得到了极大的改善。
在七十年代 “晚稀少”(“晚”指男25周岁、女23周岁才结婚;“稀”指拉长生育间隔,两胎要间隔4年左右;“少”是指只生两个孩子)政策的推动下,总和生育率——即育龄期间妇女平均生育子女数——从1970年的5.8个下降到1979年的2.8个。八十年代推行计划生育政策后,总和生育率进一步持续下降。近十年间,即便已逐步放开二胎,生育率也始终在1.5-1.7之间波动,基本可被纳入低生育率国家。由此,应用第二次人口转变的理论框架分析中国的家庭行为,对理解中国的低生育率具有一定的启示。
第二次人口转变的影响主要体现在家庭领域,具体表现包括结婚年龄的推迟、不婚率上升、同居率上升、离婚率上升、婚外生育率上升和不育率上升,而家庭行为的变化很大程度上受到文化的影响。
在中国当前的家庭中,传统与现代是并存的。一方面,女性的社会与家庭地位大幅提升,年轻人的性观念也更为开放。另一方面,中国当前的家庭仍然是以子女为中心的,父母对子女的抚养与教育有着大量的投资,且大多数夫妻仍然盼望着生育子女。那么中国的第二次人口转变是否具有与西方国家不同的特征呢?
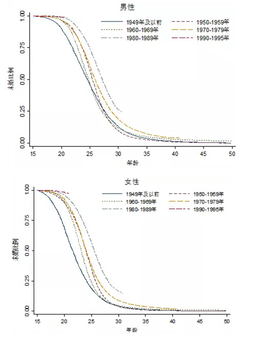
图2显示的是中国不同出生队列的男性与女性进入初婚风险的生存曲线(可以简单地理解为各个年龄上未婚比例有多少)。可以看出,无论是男性还是女性都呈现出婚姻年龄推迟的特征。根据2010年人口普查数据,当时 “80后” 中超过50%的男性没有进入初婚。
而且初婚年龄的中位数总体随着出生年份的推移呈现增加的趋势(图3):1949年及以前出生的女性的初婚年龄中位数在20-21岁之间,男性则在23-24岁之间。而在1980年以后出生的女性和男性中,初婚年龄中位数则分别上升到了23-24岁和25-26岁。由此可见,早婚与普婚这一传统特征已经发生很大变化。
图2 不同出生队列男性与女性进入初婚的Kaplan-Meier生存曲线

资料来源:图中数据根据2010年人口普查数据计算得到
图3 不同出生队列男性与女性初婚年龄的中位数

资料来源:图中数据根据2010年人口普查数据计算得到
作为第二次人口转变最重要的标志之一,同居行为已经被越来越多的人接受并实践。中国家庭追踪调查的问卷中直接询问了受访者婚前同居经历,结果发现同居在 “50后” “60后” 中极为罕见,但在年轻人中越来越普遍,超过1/4的 “80后” 都有过婚前同居的经历,这一比例接近甚至超过一些欧洲国家,比如西班牙、意大利等。随着初婚时间的进一步推迟,未来中国的同居率可能会进一步上升。
图4 男性与女性曾经有过婚前同居经历的比例随出生年份的变化趋势

资料来源:图中数据根据2010、2012和2014年中国家庭追踪调查数据计算得到
中国第二次人口转变的另一个特征是离婚率随着时间的推移持续上升。1970年以前的出生队列,婚姻的稳定程度非常高,男女两性终身在婚率均在96%以上。但在 “80后” 中,10年内就有5%左右的婚姻解体。需要说明的是,虽然中国离婚率逐渐攀升,但与欧美等西方国家相比,婚姻仍较为稳定。
图5 不同出生队列的男性与女性离婚风险的Kaplan-Meier生存曲线

资料来源:图中数据根据2014年中国家庭追踪调查数据计算得到
第四个特征是中国平均生育子女数量随着出生年份的推进有着大幅下降(图6),这与以往研究结论一致,即中国生育率已经远低于更替水平。不过由于1949年及以前、1950-1959年和1960-1969年出生的已婚女性,在其40-50岁时仍未有过生育行为的比例仅在1%左右,因此 “丁克家庭” 在中国现阶段仍然非常少见。需要指出的是,因 “70后” 和 “80后” 并未完成生育周期,图6中所示平均生育子女数量并不能代表准确的生育水平,但利用这一近似估计得到的趋势依然具有一定的参考价值。
图6 不同出身队列女性的生育行为

资料来源:图中数据根据1982、1990、2000和2010年人口普查数据、2005年和2015年“小普查”数据
以及2010、2012和2014年中国家庭追踪调查数据计算得到。
此外,中国家庭追踪调查2014年的数据显示,中国女性婚外生育的比例也一直维持在很低的水平,不同出生队列的女性未婚生育的比例都不超过1%,也就是说涉及养育子女的家庭行为几乎没有变化,绝大部分人还是在合法婚姻框架内生育子女。
综上所述,第二次人口转变在中国与西方有着不同的发展模式,不同方面的家庭行为的变化程度差异较大。结婚与同居这些更为个体化的家庭行为经历了较为剧烈的变化,男性与女性不断推迟进入初婚的时间。伴随晚婚这一趋势,越来越多的年轻人选择同居作为进入婚姻的过渡,同居变得越来越普遍。而离婚率虽然有所上升,但大部分人仍认为婚姻对养育子女具有重要意义,离婚率整体还维持在较低水平,婚外生育仍较为少见。受传统家庭功能与儒家文化的影响,生儿育女依旧是主流,虽然社会整体生育水平下降,但现阶段 “丁克家庭” 仍较为少见。
总之,在中国当前的家庭领域,传统与现代是并存的,家庭行为既受到社会变迁的影响,也有着对传统的延续。( 於嘉 谢宇)
参考文献:
[1] 於嘉,谢宇.中国的第二次人口转变[J].人口研究,2019,43(5):3-16.
[2] 刘爽,卫银霞,任慧.从一次人口转变到二次人口转变——现代人口转变及其启示[J].人口研究,2012,36(01):15-24.
